Otras cuantas de OFICIALES

Foro de discusion Sobre RFH

Moderador: Alberto

ribera
Be
Mensajes: 34
Registrado: 20 Ene 2013, 10:16

Otras cuantas de OFICIALES

Mensaje por ribera »

Apurando hasta el último momento siempre!! A ver si me podéis echar un cable: :roll:

Del OFICIAL 2010:

2010-122
122. Un reloj de péndulo de cobre funciona correctamente
a 15ºC. Sabiendo que si el reloj funciona
en un lugar cuya temperatura es 86ºF se
retrasa 15 s cada día. ¿Cuál es el coeficiente de
dilatación del cobre?:
1. 10·10-5 ºC-1.
2. 13·10-2 ºC-1.
3. 10·10-6 ºC.
4. 10·10-3 ºC-1.
5. 13·10-6 ºC-1.

2010-165
165. Una puerta lógica que tiene un consumo en
régimen estático de 10 mW, si con su salida en
estado alto tiene un consumo de 7,5 mW. ¿Cuál
es el consumo de dicha puerta con su salida en
estado bajo?:
1. 5 mW.
2. 15 mW.
3. 7,5 mW.
4. 12,5 mW.
5. 10 mW.

2010-226
226. La transición rotacional de J=0 a J=1 de la
molécula de CO ocurre a 1.15·1011 Hz. Calcular
la longitud del enlace de la molécula:
1. 2.57 nm.
2. 0.113 nm.
3. 4.61·10-10 m.
4. 9.3 nm.
5. 0.72 nm.

2010-173
173. Una lámina de 59Co de 50x50x0,2 mm3 se expone
a flujo de neutrones térmicos de 1020 (m2.s)-1
normal a su superficie. La sección eficaz de
captura de estos neutrones por el núcleo es de
36 barns. ¿Qué cantidad de 60Co se tendrá en
lámina después de 1 h.?:
Datos: Densidad del Co=9x103 kg/m3; peso molecular
del Co 59 g; número de Avogadro
6,02x1023 at/mol; 1 barn=10-28 m2; 1 uam (unidad
atómica de masa)=1,7x10-27 kg.
1. 1,60 g.
2. 6,1 mg.
3. 97 mg.
4. 326 mg.
5. 0,61 g.

Del OFICIAL 2011

135. ¿Cuál es la energía de retroceso del átomo de
tecnecio como resultado de la emisión de un
fotón en la transición isómera
mTc 99 Tc  
43
99
43 ? Datos: energía de emisión
del fotón 140 keV; masa 99mTc
43 =92130.7
MeV/c2:
1. 200 eV.
2. 0.11 eV.
3. 120 eV.
4. 1.1 keV.
5. 0.14 MeV.

251. Un volante tiene un momento de inercia de 3.8
kgm2. ¿Qué momento constante se requiere
para aumentar su frecuencia de 2rev/s a 5 rev/s
en 6 revoluciones?:
1. 38 N·m.
2. 83.6 N·m.
3. 55.7 N·m.
4. 33.4 N·m.
5. 41.8 N·m.

Con esta última, un colega físico y yo tenemos problemas personales!! No entendemos porqué no nos sale!! :shock:


Gracias!
Avatar de Usuario
soiyo
Rn
Rn
Mensajes: 1529
Registrado: 11 Mar 2010, 19:54

Re: Otras cuantas de OFICIALES

Mensaje por soiyo »

Empiezo por las del 2011 que las acabo de resolver.
135-> la energia de retroceso viene dada por \(T_{R}=\frac{E_{\gamma }^{2}}{2Mc^{2}}=\frac{140^{2}}{92190,7\cdot 10^3} keV\) y ya te sale el resultado.

251->El momento viene dado por el producto de la aceleracion angular por el momento de inercia. Calculas la aceleracion angular como quieras...lo mas facil es usar: \(\omega ^2=\omega _{0}^{2}+2\alpha \varphi\) ten cuidado que los datos vienen en rev/s no en rad/s y el espacio en rev...tienes que pasar todo a rad y ya sale el resultado

A ver si te sale si no te lo especifico mas :lol:
Avatar de Usuario
soiyo
Rn
Rn
Mensajes: 1529
Registrado: 11 Mar 2010, 19:54

Re: Otras cuantas de OFICIALES

Mensaje por soiyo »

Ahora van las del 2010....
La 226 no te puedo ayudar porque llevo tiempo detras de ella y no consigo saber como se soluciona.
122-> al aumentar 15 s el periodo en el dia, yo lo que hice fue suponer que \(T_{0]=1s\) y asi \(T=1,15s\). de esta forma, aplicando \(T=T_{0}(1+\alpha \Delta t)\) ya me salio el resultado....acuerdate de poner todas las temperaturas en ºC, lo digo porque yo me suelo pasar por el forro esto..jajajja :oops:

165-> Aqui tienes que aplicar una formulita muy mona que me dieron los compis y que no tengo ni idea de donde sale pero me la apunte!! La potencia en regimen estatico es :\(P_{est}=\frac{P_{H}-P_{L}}{2}\) donde \(P_{H}\) es la potencia en nivel alto y \(P_{L}\) a nivel bajo. Entonces lo que te dan es P en regimen estatico y la salido a nivel alto...operando ya sale....me reitero, yo de electronica ni idea, es una de mis bestias negras.

173-> esta deberia ser muy facil pero a mi me faltan datos...yo aplicaria la expresion de la actividad para secciones eficaces \(A=A_{0}(1-e^{-\lambda t})\) pero me falta el periodo del Co....aunque a lo mejor hay otra forma de hacerlo y no soy capaz de verlo....

A ver si alguien nos puede iluminar.
Avatar de Usuario
ana83
S
S
Mensajes: 157
Registrado: 31 Ago 2012, 12:24

Re: Otras cuantas de OFICIALES

Mensaje por ana83 »

Soiyo, no sé que hago mal (puede ser que sea tan inutil que no sé meter los datos en la calculadora), pero la 165 me da 1.25 mW no 12.5....

Gracias por esta formula y por la de energia de retroceso... no tenía ni idea.
Avatar de Usuario
soiyo
Rn
Rn
Mensajes: 1529
Registrado: 11 Mar 2010, 19:54

Re: Otras cuantas de OFICIALES

Mensaje por soiyo »

Sorry fallo mio!!!! puse mal la mal formula....en lugar del signo menos es un signo mas, me lie con las teclas.......
Ahora si que deberia salir...\(P_{est}=\frac{P_{H}+P_{L}}{2}\)

Mil disculpas!!! :oops:
Avatar de Usuario
ana83
S
S
Mensajes: 157
Registrado: 31 Ago 2012, 12:24

Re: Otras cuantas de OFICIALES

Mensaje por ana83 »

Jajjajaa no te preocupes si yo también lo estaba haciendo mal, había leido que nos daban la potencia a bajo y alto nivel; y no a bajo nivel y estacionaria. jajajaja que apanojada que estoy!!!! Muchas gracias
ribera
Be
Mensajes: 34
Registrado: 20 Ene 2013, 10:16

Re: Otras cuantas de OFICIALES

Mensaje por ribera »

soiyo escribió:Empiezo por las del 2011 que las acabo de resolver.
135-> la energia de retroceso viene dada por \(T_{R}=\frac{E_{\gamma }^{2}}{2Mc^{2}}=\frac{140^{2}}{92190,7\cdot 10^3} keV\) y ya te sale el resultado.
Qué bien! Gracias!! Yo estaba usando una que viene en los apuntes de Acalon que es esa más otro término y por eso no me salía... :x


251->El momento viene dado por el producto de la aceleracion angular por el momento de inercia. Calculas la aceleracion angular como quieras...lo mas facil es usar: \(\omega ^2=\omega _{0}^{2}+2\alpha \varphi\) ten cuidado que los datos vienen en rev/s no en rad/s y el espacio en rev...tienes que pasar todo a rad y ya sale el resultado
Pff!! No sabes el peso que me has quitado con esta!! jajaj Sale perfect!
:wink:
A ver si te sale si no te lo especifico mas :lol:
ribera
Be
Mensajes: 34
Registrado: 20 Ene 2013, 10:16

Re: Otras cuantas de OFICIALES

Mensaje por ribera »

soiyo escribió:Ahora van las del 2010....
La 226 no te puedo ayudar porque llevo tiempo detras de ella y no consigo saber como se soluciona.
122-> al aumentar 15 s el periodo en el dia, yo lo que hice fue suponer que \(T_{0]=1s\) y asi \(T=1,15s\). de esta forma, aplicando \(T=T_{0}(1+\alpha \Delta t)\) ya me salio el resultado....acuerdate de poner todas las temperaturas en ºC, lo digo porque yo me suelo pasar por el forro esto..jajajja :oops:
Mmmm esta la verdad q no llego a verla... La suposición esa inicial que haces cuando el reloj se retrasa 15 s A ver si cuando puedas me lo puedes especificar más! Porfis!! :roll:
165-> Aqui tienes que aplicar una formulita muy mona que me dieron los compis y que no tengo ni idea de donde sale pero me la apunte!! La potencia en regimen estatico es :\(P_{est}=\frac{P_{H}-P_{L}}{2}\) donde \(P_{H}\) es la potencia en nivel alto y \(P_{L}\) a nivel bajo. Entonces lo que te dan es P en regimen estatico y la salido a nivel alto...operando ya sale....me reitero, yo de electronica ni idea, es una de mis bestias negras.
jaja Gracias por la fórmula!! Yo creo que todos tenemos formulillas que no sabemos de donde salen pero que nos valen para algunos problemas! :D
173-> esta deberia ser muy facil pero a mi me faltan datos...yo aplicaria la expresion de la actividad para secciones eficaces \(A=A_{0}(1-e^{-\lambda t})\) pero me falta el periodo del Co....aunque a lo mejor hay otra forma de hacerlo y no soy capaz de verlo....

A ver si alguien nos puede iluminar.
Gracias!!!!
Avatar de Usuario
soiyo
Rn
Rn
Mensajes: 1529
Registrado: 11 Mar 2010, 19:54

Re: Otras cuantas de OFICIALES

Mensaje por soiyo »

ribera escribió:
soiyo escribió:Ahora van las del 2010....
La 226 no te puedo ayudar porque llevo tiempo detras de ella y no consigo saber como se soluciona.
122-> al aumentar 15 s el periodo en el dia, yo lo que hice fue suponer que \(T_{0}=1s\) y asi \(T=1,15s\). de esta forma, aplicando \(T=T_{0}(1+\alpha \Delta t)\) ya me salio el resultado....acuerdate de poner todas las temperaturas en ºC, lo digo porque yo me suelo pasar por el forro esto..jajajja :oops:
Mmmm esta la verdad q no llego a verla... La suposición esa inicial que haces cuando el reloj se retrasa 15 s A ver si cuando puedas me lo puedes especificar más! Porfis!! :roll:
a ver si me explico porque esto me da realmente mal...haces una simple regla de tres...si en 1 dia atrasa 15 s, en 1 s atrasa 0,000174. Ahora aplicas la expresion y tienes \(1,000174=1(1+\alpha \cdot 12)\)...espero que asi lo entiendas algo mejor, ya digo que yo pa explicar soy algo cortita.igual se puede hacer de otra forma pero a mi me parecio lo mejor lo de suponer T=1s....
165-> Aqui tienes que aplicar una formulita muy mona que me dieron los compis y que no tengo ni idea de donde sale pero me la apunte!! La potencia en regimen estatico es :\(P_{est}=\frac{P_{H}-P_{L}}{2}\) donde \(P_{H}\) es la potencia en nivel alto y \(P_{L}\) a nivel bajo. Entonces lo que te dan es P en regimen estatico y la salido a nivel alto...operando ya sale....me reitero, yo de electronica ni idea, es una de mis bestias negras.
jaja Gracias por la fórmula!! Yo creo que todos tenemos formulillas que no sabemos de donde salen pero que nos valen para algunos problemas! :D
Corrige esta formula que como puse despues me lie...y es con el signo mas
173-> esta deberia ser muy facil pero a mi me faltan datos...yo aplicaria la expresion de la actividad para secciones eficaces \(A=A_{0}(1-e^{-\lambda t})\) pero me falta el periodo del Co....aunque a lo mejor hay otra forma de hacerlo y no soy capaz de verlo....

A ver si alguien nos puede iluminar.
Gracias!!!!
ribera
Be
Mensajes: 34
Registrado: 20 Ene 2013, 10:16

Re: Otras cuantas de OFICIALES

Mensaje por ribera »

soiyo escribió:
ribera escribió:
soiyo escribió:Ahora van las del 2010....
La 226 no te puedo ayudar porque llevo tiempo detras de ella y no consigo saber como se soluciona.
122-> al aumentar 15 s el periodo en el dia, yo lo que hice fue suponer que \(T_{0}=1s\) y asi \(T=1,15s\). de esta forma, aplicando \(T=T_{0}(1+\alpha \Delta t)\) ya me salio el resultado....acuerdate de poner todas las temperaturas en ºC, lo digo porque yo me suelo pasar por el forro esto..jajajja :oops:
Mmmm esta la verdad q no llego a verla... La suposición esa inicial que haces cuando el reloj se retrasa 15 s A ver si cuando puedas me lo puedes especificar más! Porfis!! :roll:
a ver si me explico porque esto me da realmente mal...haces una simple regla de tres...si en 1 dia atrasa 15 s, en 1 s atrasa 0,000174. Ahora aplicas la expresion y tienes \(1,000174=1(1+\alpha \cdot 12)\)...espero que asi lo entiendas algo mejor, ya digo que yo pa explicar soy algo cortita.igual se puede hacer de otra forma pero a mi me parecio lo mejor lo de suponer T=1s....

Ahhh!! Vale! No te explicas tan mal, eh!! :wink: Una chorrada, el incremento de temperatura me da 15, no 12.. Pero vamos, q eso no cambian mucho el resultado final! De nuevo, GRACIAS! :D
165-> Aqui tienes que aplicar una formulita muy mona que me dieron los compis y que no tengo ni idea de donde sale pero me la apunte!! La potencia en regimen estatico es :\(P_{est}=\frac{P_{H}-P_{L}}{2}\) donde \(P_{H}\) es la potencia en nivel alto y \(P_{L}\) a nivel bajo. Entonces lo que te dan es P en regimen estatico y la salido a nivel alto...operando ya sale....me reitero, yo de electronica ni idea, es una de mis bestias negras.
jaja Gracias por la fórmula!! Yo creo que todos tenemos formulillas que no sabemos de donde salen pero que nos valen para algunos problemas! :D
Corrige esta formula que como puse despues me lie...y es con el signo mas
173-> esta deberia ser muy facil pero a mi me faltan datos...yo aplicaria la expresion de la actividad para secciones eficaces \(A=A_{0}(1-e^{-\lambda t})\) pero me falta el periodo del Co....aunque a lo mejor hay otra forma de hacerlo y no soy capaz de verlo....

A ver si alguien nos puede iluminar.
Gracias!!!!
Avatar de Usuario
soiyo
Rn
Rn
Mensajes: 1529
Registrado: 11 Mar 2010, 19:54

Re: Otras cuantas de OFICIALES

Mensaje por soiyo »

Es verdad!!! ya no se ni hacer los calculos mas simples.....jajaja
Avatar de Usuario
Pinzas
S
S
Mensajes: 151
Registrado: 02 Feb 2012, 13:18

Re: Otras cuantas de OFICIALES

Mensaje por Pinzas »

Hola!

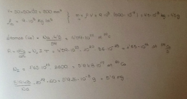
173. Una lámina de 59Co de 50x50x0,2 mm3 se expone
a flujo de neutrones térmicos de 1020 (m2.s)-1
normal a su superficie. La sección eficaz de
captura de estos neutrones por el núcleo es de
36 barns. ¿Qué cantidad de 60Co se tendrá en
lámina después de 1 h.?:
Datos: Densidad del Co=9x103 kg/m3; peso molecular
del Co 59 g; número de Avogadro
6,02x1023 at/mol; 1 barn=10-28 m2; 1 uam (unidad
atómica de masa)=1,7x10-27 kg.
1. 1,60 g.
2. 6,1 mg.
3. 97 mg.
4. 326 mg.
5. 0,61 g.

Buff... Jaja mejor foto que me apetece cero usar látex...

Espero que se vea :D
Adjuntos
image.jpg
image.jpg (65.97 KiB) Visto 16612 veces
Avatar de Usuario
soiyo
Rn
Rn
Mensajes: 1529
Registrado: 11 Mar 2010, 19:54

Re: Otras cuantas de OFICIALES

Mensaje por soiyo »

Genial Pinzas....yo buscaba fantasmas.jajajajaja...
ribera
Be
Mensajes: 34
Registrado: 20 Ene 2013, 10:16

Re: Otras cuantas de OFICIALES

Mensaje por ribera »

Gracias Pinzas!!!!!
Solmat
B
Mensajes: 47
Registrado: 04 Oct 2011, 12:16

Re: Otras cuantas de OFICIALES

Mensaje por Solmat »

Si es que vale una imagen más que 1000 látex. Me ha venido de perlas. Gracias Pinzas!
Responder