General 31

Foro de discusion Sobre RFH

Moderador: Alberto

Avatar de Usuario
ana83
S
S
Mensajes: 157
Registrado: 31 Ago 2012, 12:24

General 31

Mensaje por ana83 »

Bueno chicos, aquí os dejo mis dudillas del general.

8. La 4??? Pero no habiamos quedado que eran 127!!!! (Por favor, el Administrador que se pronuncie acerca de esta pregunta y del resto que tengamos dudas por favor!!!!

19, 47, 49, 177 ni idea

39. A mi me sale la 2

68. No sería la 5 en vez de la 4

90. No sería la 1???

158. La 1 tmbien es correcta.

160. No depende sólo del agulo de dispersión????

187. Me sale 0,062 la número 4.

Muchas gracias
Avatar de Usuario
Pinzas
S
S
Mensajes: 151
Registrado: 02 Feb 2012, 13:18

Re: General 31

Mensaje por Pinzas »

Hola!! Voy a intentar ayudarte ;)

8. Si, es 127... :roll:

47. Esta lo que haces es pasar el gramo de (2D) a átomos, y lo multiplicas por 3,35 MeV.

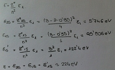
49. En esta lo que he hecho es como sí el litio fuera un "átomo hidrogenoide" y con apantallamiento...
Me da 223,6 eV

177. Hay una fórmula para la energía umbral, que es:
E=-Q(m1+m2)/m2 donde... m1 es el protón, y m2 es el litio

39.A mi me da 120

Y hasta aquí por hoy ;) mñn más :)
Avatar de Usuario
alf
Cl
Cl
Mensajes: 167
Registrado: 31 Ene 2012, 11:21

Re: General 31

Mensaje por alf »

Hola chic@s!

19- la encontré por el foro pero no termino de entenderla del todo 12!/(4!)^3 3!

39- me da 120 cm. 1/0.9=1.33/S2

90- me da la 1

158- también es correcta la 1

160- sólo del ángulo

187- hf=hf´+ Te= 275 y también 275= hf, despejando f calculas lambda.

:roll: Abro otro post con mis dudas.
Avatar de Usuario
alf
Cl
Cl
Mensajes: 167
Registrado: 31 Ene 2012, 11:21

Re: General 31

Mensaje por alf »

Hello again!!

42- por qué eso y no lo demás?

50- estas nunca sé contestarlas y me da mucha rabia.

59- a mí me sale 1/15 !!!!

65- Eje principal y eje óptico no es lo mismo?

145- y la 2 por qué no?

165, 225- no sé

177- pero por qué hay preguntas por ahí en las que cuando la energía de la reacción es menor que cero dicen que no hay umbral y aquí si?????

218- por qué no es helicoidal con radio decreciente??

230- me da la respuesta 5

234- recuerdo de resolverlos así en el insti pero ahora ni idea.

Gracias :P
Avatar de Usuario
ana83
S
S
Mensajes: 157
Registrado: 31 Ago 2012, 12:24

Re: General 31

Mensaje por ana83 »

Muchas gracias chicos!!!

Pinzas!!! Unas preguntillas:
Pinzas escribió: 49. En esta lo que he hecho es como sí el litio fuera un "átomo hidrogenoide" y con apantallamiento...
Me da 223,6 eV
Este valor es que te lo tienes que qprender????

Alf:
alf escribió:
19- la encontré por el foro pero no termino de entenderla del todo 12!/(4!)^3 3!
También lo había encontrado en un foro pero no entendía bien la explicación que me daban

39- me da 120 cm. 1/0.9=1.33/S2
Yo he hecho al reves: 1.33/0.9=1/S2 y me da 67.5cm
Avatar de Usuario
ana83
S
S
Mensajes: 157
Registrado: 31 Ago 2012, 12:24

Re: General 31

Mensaje por ana83 »

alf escribió:Hello again!!

59- a mí me sale 1/15 !!!!
Para mi que la primera bola salga negra no tiene nada que ver con que la segunda lo haya sido, entonces creo que es 2/6.

65- Eje principal y eje óptico no es lo mismo?
Eje óptico es la recta que pasa por el centro óptico O de la lente
Eje óptico principal es la recta que pasa por los centros de curvatura de la lente .


165, 225- no sé
Pues la 225 me he puesto hacerlo por la cuenta de la vieja: En la 1ª colisión la energia baja a 100MeV, en la 2ª 50MeV y así sucesivamente, el problema es que lleo a 0.04 eV en 28 colisiones

218- por qué no es helicoidal con radio decreciente??
La has debido de corregir mal es con radio y paso de hélice constante

230- me da la respuesta 5
El momento de inercia de una varilla es I=ML^2/3, y el periodo es T=2 pi (I/mgd)^(1/2), además el centro de gravedad de la varilla está a L/2 , sustituyendo obtienes la solución 1.


Gracias :P
Con respecto al resto estoy como tú o peor :?
Avatar de Usuario
ana83
S
S
Mensajes: 157
Registrado: 31 Ago 2012, 12:24

Re: General 31

Mensaje por ana83 »

Esto va dirigido al Administrador:

Según lo que me dicen mis compañeros tengo 4 preguntas bien que me han corregido como mal (por lo menos que yo sepa), por favor ¿podría ponerme la nota correcta y corregir los fallos que tiene el examen???

Si por el contrario nosotros estamos equivocados, le agradecería que lo dijese porque hay muchas veces que mis resultados no concuerdan con los de mis compañeros y no sé si ellos tienen razón, si yo , si Acalon o quien....

Muchas gracias
Avatar de Usuario
Pinzas
S
S
Mensajes: 151
Registrado: 02 Feb 2012, 13:18

Re: General 31

Mensaje por Pinzas »

Hola chicos... A ver.... Os cuento lo que yo creo...

49. ¿Cómo? Esq igual no me he explicado ... Pongo un adjunto en breves...

39. Yo estoy con alf fuera del agua tienes ct=h' y dentro del agua tienes h=vt ( donde v=c/n) despejando sale 120 cm

68. Es simplemente saber el modelo de capas con spin órbita... Como tienes 9 neutrones y solo importa el desapareado, pies tienes d(5/2) eso es J=5/2 y pi=(-1)^l=(-1)^2=1 positivo

90. A mi me da la 1 tb...

42. Esta ha salido en dos exámenes del ministerio. Dice que esa reacción demuestra que... No que no puedan ser verdades lo que pone... La verdad que en esta ns dar explicación. Sólo de porque la 5 no.. En principio el mesón menos másico es el pi0 y aquí es pi+ . Sorry...

59. Jaja vale esta sí :)
El tema está en que es una probabilidad condicionada,nos preguntan por la primera bola habiendo sacado negra la segunda... Entonces es:
P= P(N/N)/(P(B/N)+P(N/N))= (2/30)/((8/30)+(2/30))=1/5
Avatar de Usuario
Pinzas
S
S
Mensajes: 151
Registrado: 02 Feb 2012, 13:18

Re: General 31i

Mensaje por Pinzas »

Sigo...

65. Estoy con Ana

225. Esto es como con las capas hemireductoras si te dice que se reduce a la mitad yo lo que he hecho es...
200*10^6/0.04=5*10^9
Entonces=
2^n=5*10^9 despejando n=32

218. El radio se mantiene constante.

230. Igual que Ana

234. Impulso se conserva... P=Ft ... Despejando sale 61.25 solo, que lo q llama peso es masa , te lo dañen toneladas, hay q multiplicar por g

Y creo que ya esta :)
Avatar de Usuario
Pinzas
S
S
Mensajes: 151
Registrado: 02 Feb 2012, 13:18

Re: General 31

Mensaje por Pinzas »

49. He hecho lo q he podido porque estoy sin ordenador... Jaja y estoy con el iPad... Espero q se vea
Adjuntos
image.jpg
image.jpg (30.94 KiB) Visto 13228 veces
Administrador
Site Admin
Mensajes: 446
Registrado: 16 Ago 2004, 22:27

Re: General 31

Mensaje por Administrador »

Hola,

Empiezo por nuestros errores:
8.- La correcta es la 5 no la 4 se representan 128 valores, pero el más alto es el 127.
90.- La correcta es la 1

y los que no lo son:
160.- Se puede ver en la formula \(\Delta\lambda=\frac{h}{m_ec}(1-\cos{\theta})\) que la variación de la longitud de onda depende de la masa del electrón y del ángulo.

seguire revisando...
Administrador
Avatar de Usuario
alf
Cl
Cl
Mensajes: 167
Registrado: 31 Ene 2012, 11:21

Re: General 31

Mensaje por alf »

Gracias!!!!

Un par de cosas,

160- tiene razón el Admin :oops:
218- quise decir por qué el radio no decrece..., es porque el campo es uniforme

230- Pero I= (1/3) ML^2 es para varilla con eje que pasa por un extremo y es perpendicular a la misma, no oscilaría como un péndulo, no?, no debería ser I= (1/2)MR^2 , eje paralelo a la varilla que pasa por CM??

Gracias.
Avatar de Usuario
Pinzas
S
S
Mensajes: 151
Registrado: 02 Feb 2012, 13:18

Re: General 31

Mensaje por Pinzas »

:D
Adjuntos
image.jpg
image.jpg (229.02 KiB) Visto 13197 veces
Avatar de Usuario
alf
Cl
Cl
Mensajes: 167
Registrado: 31 Ene 2012, 11:21

Re: General 31

Mensaje por alf »

Gracias Pinzas,

me estaba imaginando el eje al contrario, qué idiota.... :cry:
Avatar de Usuario
Pinzas
S
S
Mensajes: 151
Registrado: 02 Feb 2012, 13:18

Re: General 31

Mensaje por Pinzas »

De idiota nada, nos pasa a todos :)
Responder