223

Foro de discusion Sobre RFH

Moderador: Alberto

Avatar de Usuario
Usuario0410
Rn
Rn
Mensajes: 876
Registrado: 23 Sep 2013, 09:48

223

Mensaje por Usuario0410 »

223. Resolver la integral \(\int_\gamma \frac{dz}{\sin^3z}\), donde gamma es el círculo
orientado positivamente {|z|=1}.

1. πi
2. -πi
3. 2πi
4. πi/2
5. 2π

Hay preguntas parecidas en exámenes de otros años pero esta no me sale. Help!!!!
:help: :help:
notwen_88
As
As
Mensajes: 324
Registrado: 06 Oct 2014, 17:32

Re: 223

Mensaje por notwen_88 »

Usuario0410 escribió:223. Resolver la integral \(\int_\gamma \frac{dz}{\sin^3z}\), donde gamma es el círculo
orientado positivamente {|z|=1}.

1. πi
2. -πi
3. 2πi
4. πi/2
5. 2π

Hay preguntas parecidas en exámenes de otros años pero esta no me sale. Help!!!!
:help: :help:
Yo la dejé en blanco por las prisas, pero supongo que tendrás que calcular el residuo en Z=0 y tener en cuenta que es un polo de orden 3. Probaste así?
dsanchez
Cl
Cl
Mensajes: 166
Registrado: 01 Feb 2015, 10:06

Re: 223

Mensaje por dsanchez »

Yo la deje en blanco pero la integral debería ser 2pi*i por el residuo, el residuo diría que es 1, así que diría que la respuesta es 2*pi*i, pero no estaba seguro en el examen y no lo conteste
Avatar de Usuario
Usuario0410
Rn
Rn
Mensajes: 876
Registrado: 23 Sep 2013, 09:48

Re: 223

Mensaje por Usuario0410 »

david ¿cómo intuyes que el residuo va a ser 1?

Yo en el examen vi que era un polo de orden 3, lo que implica que hay que hacer dos derivadas y pasé.
Ahora me he puesto otra vez, hago:
\(Res(f;0)=\lim_{z\rightarrow 0} \quad \frac{1}{2!} \frac{\text{d}^2}{\text{d}z^2} \left(\frac{z}{\sin z}\right)^3\)
pero derivar la función 1/sinc^3 es un horror. ¿Voy bien o hay otra forma mejor?
dsanchez
Cl
Cl
Mensajes: 166
Registrado: 01 Feb 2015, 10:06

Re: 223

Mensaje por dsanchez »

Es un poco intuitivo, viene del hecho de que el producto de una función por su inversa es 1,así por ejemplo como el desarrollo del seno es x +x3, para que el producto con su inversa sea 1 quiere decir que el desarrollo de 1/sinx debe contener el término 1/x, y el término que va divido por x en un desarrollo de Laurent, es el residuo, que coincide con el residuo de 1/x. En este caso pensé aplicar lo mismo, pero no llegue a nada por este método por que la derivada es infernal y lo descarte, pero vamos que es una intuición aunque pensándolo bien debajo de la fórmula del residuo hay un un medio maravilloso. Así qué soló puedo decir... Que no tengo ni idea
Avatar de Usuario
Usuario0410
Rn
Rn
Mensajes: 876
Registrado: 23 Sep 2013, 09:48

Re: 223

Mensaje por Usuario0410 »

:pale:
notwen_88
As
As
Mensajes: 324
Registrado: 06 Oct 2014, 17:32

Re: 223

Mensaje por notwen_88 »

Joder dsanchez, por lo que veo estás a años luz e incluso parsecs de mis conocimientos :shock:
Avatar de Usuario
Usuario0410
Rn
Rn
Mensajes: 876
Registrado: 23 Sep 2013, 09:48

Re: 223

Mensaje por Usuario0410 »

\(Res(f;0)=\lim_{z\rightarrow 0} \quad \frac{1}{2!} \frac{\text{d}^2}{\text{d}z^2} \left(\frac{z}{\sin z}\right)^3\) da 1/2 efectivamente (lo acabo de calcular con wxMaxima, un programa de matemáticas fantástico que hasta calcular residuos, lo he descubierto hoy) así que por lo tanto
\(\lim_{z\rightarrow 0} \quad \frac{\text{d}^2}{\text{d}z^2} \left(\frac{z}{\sin z}\right)^3 =1\)

David, ¿puedes intentar explicarme con un poco más de detalle (o con otras palabras) lo que dijiste en:
Ahí va la parte que NO pillo:
dsanchez escribió: el término que va divido por x en un desarrollo de Laurent, es el residuo, que coincide con el residuo de 1/x.
o a lo mejor me puedes pasar alguna referencia donde venga. La parte que ya he entendido es (=que ya he pillado):
Es un poco intuitivo, viene del hecho de que el producto de una función por su inversa es 1,así por ejemplo como el desarrollo del seno es x +x3, para que el producto con su inversa sea 1 quiere decir que el desarrollo de 1/sinx debe contener el término 1/x,
pero en mi carrera hicimos poco desarrollos de Laurent (lo más sencillitos) y el resto me pierdo. Y por último, alguna idea de cómo afecta lo de la segunda derivada?
En este caso pensé aplicar lo mismo, pero no llegue a nada por este método por que la derivada es infernal y lo descarte, pero vamos que es una intuición aunque pensándolo bien debajo de la fórmula del residuo hay un un medio maravilloso. Así qué soló puedo decir... Que no tengo ni idea
a la hora del resultado final parece que no influye no?
dsanchez
Cl
Cl
Mensajes: 166
Registrado: 01 Feb 2015, 10:06

Re: 223

Mensaje por dsanchez »

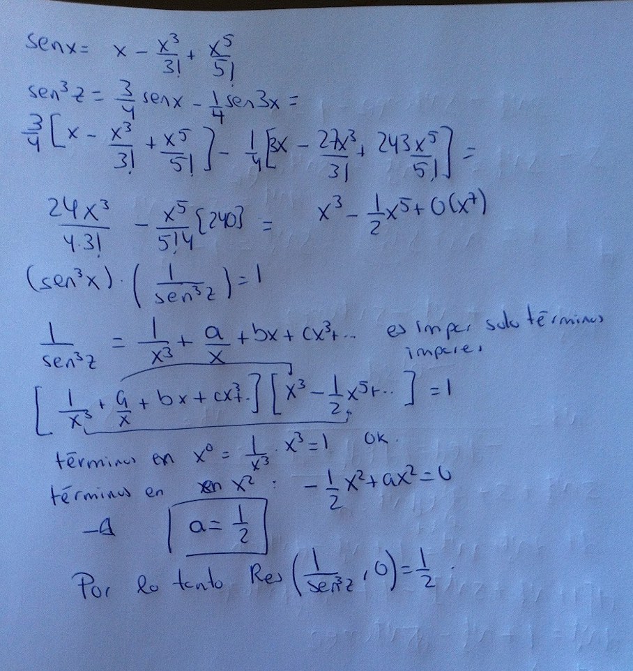
He conseguido resolver el residuo, yuju!!! Aunque si pensaban por un momento que en el examen calculáramos la derivada o hiciéramos el desarrollo lo llevan claro! En cualquier caso obtengo lo mismo que tú 1/2!Adjunto la foto con los cálculos!.
Respecto a lo que preguntabas usuario el término en 1/x de desarrollo de Laurent siempre es el residuo por definición, de hecho la fórmula del residuo y la de este término son equivalentes. Te adjunto un enlace http://138.100.110.67/laurent.pdf
que parece que ahí viene bastante bien explicado.
Aunque en este caso más que un desarrollo de Laurent se parece más a la forma de calcular por ejemplo el desarrollo en serie de Taylo de la cosecante o la cotangente, series que si te fijas llevan términos en 1/x y que proceden de hacer esto.
Respecto al término 1/2 a lo que me refería, es que normalmente el cociente de x/sen x es uno, así que pensé que aquí también sería uno, aunque como el término del residuo va divido por dos quizás acaba apareciendo un 1/2, al final ha sido así pero no sé si ha sido suerte o es algo más general.
Adjuntos
1.jpg
1.jpg (210 KiB) Visto 13941 veces
Avatar de Usuario
Zulima
Xe
Xe
Mensajes: 531
Registrado: 06 Nov 2012, 18:57

Re: 223

Mensaje por Zulima »

Este es claramente un ejercicio para hacer en 1-2 minutos, o de 5 en la segunda vuelta :tard:
Avatar de Usuario
Usuario0410
Rn
Rn
Mensajes: 876
Registrado: 23 Sep 2013, 09:48

Re: 223

Mensaje por Usuario0410 »

La verdad que hasta ahora no conocía esta manera de calcular residuos
con lo de que f(x) · 1/f(x) =1 pero bueno, todos lo días se aprende algo nuevo. Gracias david por subir la foto y el link al pdf (aunque el pdf ya me lo leeré más adelante ;) )
marcocangrejo
Si
Si
Mensajes: 134
Registrado: 19 Sep 2013, 10:33

Re: 223

Mensaje por marcocangrejo »

¿Y no hay una forma más sencilla de hacerse? Con relaciones trigonométricas o cambio de variable de forma que aparezca un polinomio en el denominador??.
marcocangrejo
Si
Si
Mensajes: 134
Registrado: 19 Sep 2013, 10:33

Re: 223

Mensaje por marcocangrejo »

Por ejemplo, ¿está bien así?:

\(\oint\frac{1}{\sin^3{z}}dz=\oint\frac{\sin{z}}{\sin^4{z}}dz=-\oint\frac{d(\cos{z})}{(1-\cos^2{z})^2}\)

ahora cambio variable \(t=\cos{z}\)

\(-\oint\frac{dt}{(1+t^2)(1-t^2)}=-\oint\frac{dt}{(1+t)(1-t)(1+it)(1-it)}=-2\pi i\)
dsanchez
Cl
Cl
Mensajes: 166
Registrado: 01 Feb 2015, 10:06

Re: 223

Mensaje por dsanchez »

Pues no estoy seguro porque al tratarse de una integral en el plano complejo, se resuelven diferentes. Por lo que yo se una integral a lo largo de un camino cerrado en el plano complejo es cero a no ser que tenga polos en su interior . Con el cambio de variable que propones los polos quedan a lo largo del camino de integración ya que todos tienen z=1 con lo cual ese camino no sé si se podría coger ya que normalmente los caminos de integración rodean lo polos y no los incluyen. Si que alguna vez he visto cambios de variables de funciones trigonométricas en las integrales complejas pero se suelen usar justo al contrario, es decir, para pasar de integrales de 0 a 2pi en el plano real que contienen senos y cosenos, se pasa al plano complejo usando z=1 a lo largo de un circulo unidad y cosx=(z+z*)/2, pero entonces también se cambia el diferencial dx=dz/iz. De todas formas estoy hablando un poco de memoria y no estoy del todo seguro, pero si tú método es correcto es mucho más fácil!!!
marcocangrejo
Si
Si
Mensajes: 134
Registrado: 19 Sep 2013, 10:33

Re: 223

Mensaje por marcocangrejo »

Lo que se me ocurre es esto:

los polos son

\(\sin{z}=0\)

que se da para

\(z=m\pi\)

con m un número entero empezando en m=0.

Por tanto, en la variable t los polos son:

\(t = \cos{z}=\cos{m\pi}= \pm 1\)

Así que los polos que me interesan son t=1 y t=-1, que son los que utilizo para calcular los residuos:

\(\oint_C \frac{1}{\sin^3{z}}=-2\pi i \left( \frac{1}{4} + \frac{1}{4} \right) = -\pi i\)

Ahora la veo mucho más sentido y el cálculo es más rápido. ¿Qué tal lo véis?.
Responder